Hangzhou GB Chemwin Import & Export Co., Ltd.
Hangzhou GB Chemwin Import & Export Co., Ltd.
Current location:Home>Products> Nutrition

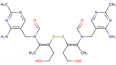
Thiamine disulfide

Basic Information:
  • Product name:Thiamine disulfide
  • Alternate name:Thiamine disulfide TTFD, Vitamin B1 disulfide
  • CAS No.:67-16-3
  • Appearance:White powder or crystal
  • Molecular Formula:

    C24​H34​N8​O4​S2​

  • Specification:98.0%~102.0%
  • Aroma:Have a slight characteristic odor
Description:
  • Testing Items

    REFERENCE

    Test Result  

    Description

    White or pale yellow powder

    White powder

    Identification

    a) When the solution is acidic, the fluorescence disappears;when the solution is alkaline, the fluorescence reappears. After heating, the color of the solution changed to a blackish brown, forming a blackish brown precipitate.

    Positive

    Clarity of solution

    Clear

    Clear

    Chloride

    <0.053%

    <0.053%

    Thiamine

    <0.5%

    0.05%

    Water content

    <10.0%

    8.2%

    Sulfate

    <0.011%

    <0.011%

    Nitrate

    No dark brown rings should form at the contact interface

    Positive

    Heavy metals

    <20ppm

    <20ppm

    Arsenic

    <2ppm

    <2ppm

    Residue on ignition

    <0.5%

    0.03%

    Assay

    98.0%~102.0%

    99.8%

    We certify that the quality of this product conforms to the clientele's specification.

Product Efficacy and Application:
  • Pharmaceutical Industry: Widely used as an active pharmaceutical ingredient (API) in vitamin B complex preparations and specific drugs for neurological disorders. Nutraceuticals/Dietary Supplements: Incorporated into dietary supplements aimed at supporting nerve health, energy levels, and overall well-being.
Product Performance:
  • Thiamine disulfide is a derivative of thiamine (Vitamin B1). It is known for its ability to be better absorbed and utilized by the body compared to thiamine hydrochloride, making it a more bioavailable form of Vitamin B1
Request A SampleGet In Touch With Our Expert
Additional Notes:
  • Export, Import, Research
  • Contract manufacturing , Technology transfer
  • Add: Room 506,Block C, sunwave building , No.581 Torch Avenue,Binjiang,Hangzhou, Zhejiang,P.R. China

  • Tel: +86-571-88808192(Domestic trade)
    Tel: +86-571-88808190(Foreign trade)

We use cookies to understand how you use our site and to improve the overall user experience. This includes personalizing content and advertising. Read our Privacy Policy